I have been told from John w4ijj (he will more than likely denied this as usual) and others that NOFARS North Florida Amateur Radio Society is a federally registered nonprofit organization and that is why they are not found on sunbiz.org. I found this state statute that requires foreign corporations to apply for a certificate to do business in the state of Florida.
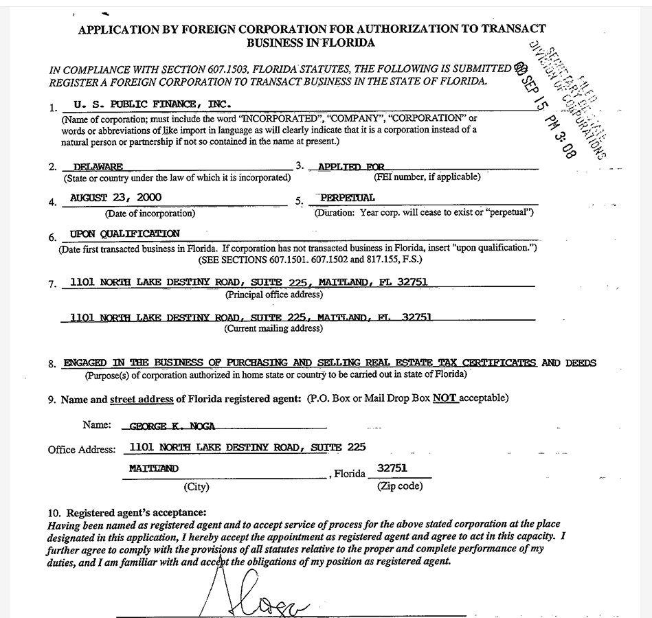
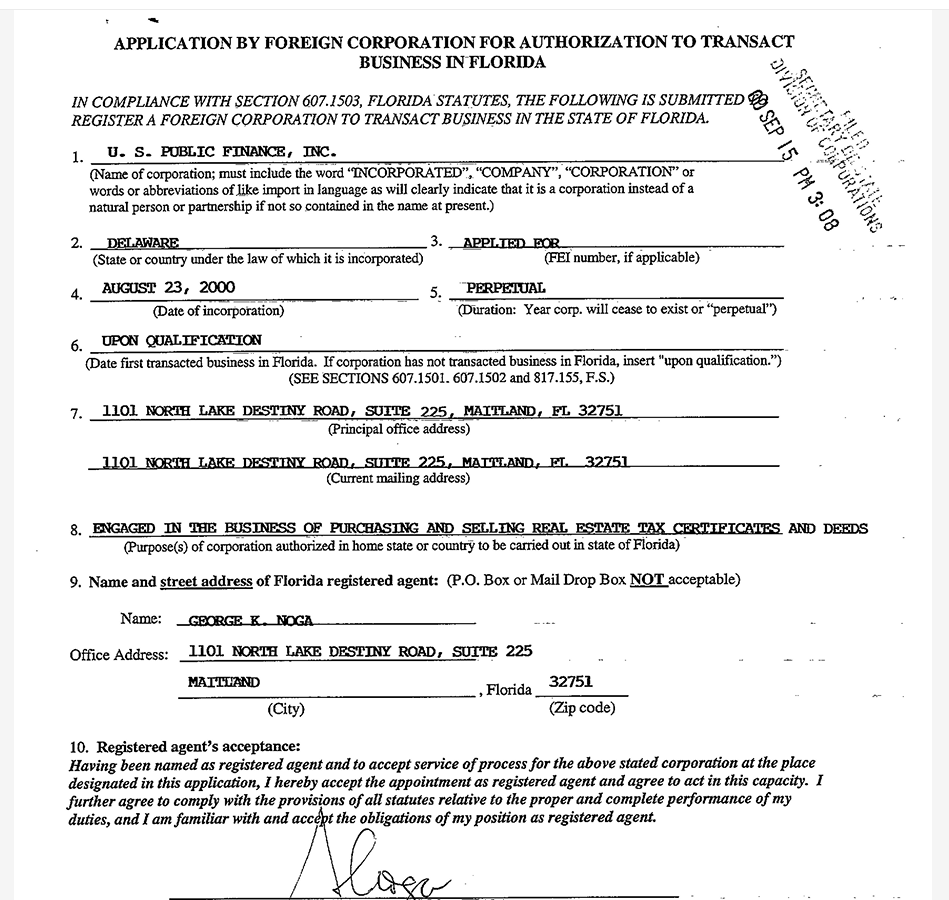
I will also show actual pictures of foreign corporations that file annual reports because they flowow the law not just cause they make so much money they want to give some to the state of Florida. I have also posted a picture of the actual application from a company that they filed with the state of Florida. When doing business in Florida you must have an agent that has a Florida address to accept any service of process that may be served on the business. Can someone show me where this is for NOFARS North Florida Amateur Radio Society (NOFARS)? It seems like that organization does not exist.
Here is the link to this information for those who think I am making this stuff up:
http://www.leg.state.fl.us/statutes/index.cfm?mode=View%20Statutes&SubMenu=1&App_mode= Display_Statute&Search_String=607.1503&URL=0600-0699/0607/Sections/0607.1503.html



I will also show actual pictures of foreign corporations that file annual reports because they flowow the law not just cause they make so much money they want to give some to the state of Florida. I have also posted a picture of the actual application from a company that they filed with the state of Florida. When doing business in Florida you must have an agent that has a Florida address to accept any service of process that may be served on the business. Can someone show me where this is for NOFARS North Florida Amateur Radio Society (NOFARS)? It seems like that organization does not exist.
Here is the link to this information for those who think I am making this stuff up:
http://www.leg.state.fl.us/statutes/index.cfm?mode=View%20Statutes&SubMenu=1&App_mode= Display_Statute&Search_String=607.1503&URL=0600-0699/0607/Sections/0607.1503.html
The 2024 Florida Statutes (including 2025 Special Session C)![]() |
||||||
|
